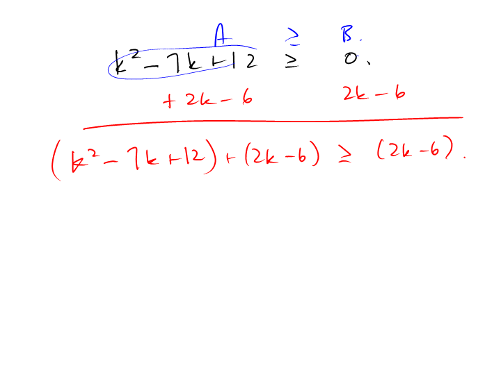
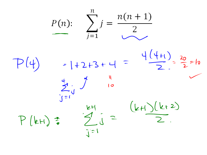
C:\Users\sandyirani\Desktop\ICS 6D\04_Induction_Part1.cp3

C:\Users\sandyirani\Desktop\ICS 6D\04_Induction_Part1.cp3